Pk bir başka deyişle P kritik ile hipotez testi diğer hipotez testlerinde olduğu gibi aşamalarla yapılmaktadır. P kritik ile hipotez testi nasıl yapılır? Sorusunun cevabı dört aşamadadır. Bu aşamalar aşağı kısımdaki başlıkların altında anlatılmıştır. Bu yazıda P kritik ile hipotez testi yaparken çift kuyruk hipotez testleri kullanılacak. Ancak bu hipotez testlerinin hepsi çift kuyruk değildir. Bu kısmı aşamalarda anlatacağız.
P kritik İLE HİPOTEZ TESTİ NASIL YAPILIR?
P kritik ile hipotez testi yapabilmeniz için öncelikle H0ve H1 hipotezlerini belirlemeniz gerekir. Bu aşamadan sonra soru içerisinde bize verilmiş olan değerleri kullanarak ilerleyeceğiz. Ancak teste başlamadan önce verilen grup ögelerinin ortalamalarını ve standart sapmalarını belirlemeniz gerekir.
Soruda verilen alfa anlamlılık düzeyi 95% gibi yüzdelik bir değer ise 100% den çıkarıp ondalıkla yazmalısınız. Örneğin 95% için 0.05 gibi. Daha fazla uzatmadan P kritik ile hipotez testinin aşamalarını inceleyelim.
P kritik İLE HİPOTEZ TESTİ NASIL YAPILIR? AŞAMALARI
1) H0 ve H1Hipotezlerini belirleyin.
Örneğin bir ilacın etkisi ölçülüyorsa o H0hipotezi etkilememiştir. H1 Hipotezi ise etkilemiştir şeklinde bir hipotez kurmanız gerekir. Tabii çift kuyruk ise durum böyledir. Bu senaryo H0: M ≤ değer H1 > değer şeklinde de değişebilir. Bu durum çift kuyruk ve tek kuyruk olmasına göre değişir. Bu kuyrukların nasıl bulunabileceği aşağıdaki bölümlerde anlatılıyor.
Örnek olarak
H0: İlaç kullanımı yemek miktarını etkilememiştir.
H1: İlaç kullanımı yemek miktarını etkilemiştir.
Olarak başlayalım.
2) Öncelikle Df serbestlik derecesini bulmanız ve eğri türünü belirlemeniz gerekir.
Df serbestlik derecesini bulmak için gruptaki eleman sayısından bir çıkarmamız gerekir. Eğer iki grup varsa iki grup için ayrı ayrı çıkarma işlemi yapıldıktan sonra bulunan değerler toplanır.
Örneğin bu deney 10’ar kişilik iki grup için yapılıyorsa Df = (10 – 1) + (10 – 1) şeklinde Df serbestlik derecesi bulunur. Eğer 10 kişilik tek bir grup için yapılıyorsa Df = 10 – 1 şeklinde bulunur.
Alfa anlamlılık düzeyinin de belirlenmesi gerekir.
Şimdi ise grafiğin çizilmesi gerekiyor. Tek kuyruk veya çift kuyruk bir hipotez testi mi yapılacak belirlememiz gerekiyor. Bu konu başlı başına bir yazı olduğundan bu konu için ayrı bir yazı yazdım. İlgili yazıya buraya tıklayarak gidebilirsiniz.
3) Yapılacak Testi Belirleyin.
Bu aşamada hangi testin yapılacağını belirleyeceğiz. n Değerine göre t veya z testi yapılması gerekir. Grupta bulunan kişi sayısı bize n değerini verir. Örneğin 20 kişilik bir grup üzerinde deney yapılıyorsa n = 20 olur.
Bu aşamada
n ≥ 30 için z,
n<30 için t
testi kullanılmalıdır.
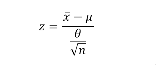
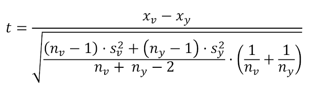
P kritik ile hipotez testi nasıl yapılır? T ve Z testleri
T testi için yukarıdaki harflendirmelerin açıklamaları
Xv ve Xy: birinci ve ikinci grupların ortalamaları (Online ortalama hesaplayıcı için tıklayınız. Sayfanın en altındaki linke tıklayınız.)
nv ve ny: birinci ve ikinci gruptaki kişilerin sayıları
S2v ve S2y: birinci ve ikinci grupların varyansları
x̄ : Ortalama (Online ortalama hesaplayıcı için tıklayınız. Sayfanın en altındaki linke tıklayınız.)
µ: Değişip değişmediği araştırılan şey. Örneğin tüketilen yiyecek miktarı
Q: Standart sapma
√n : Denek sayısının karekökü
Bu testler uygulandıktan sonra z testi yapıldıysa z tablosundan, t testi yapıldıysa t tablosundan bulduğumuz değerlere karşılık gelen değerler bulunur.
4) H0 Hipotezinin reddedilmesi veya kabul edilmesi aşaması
Bu aşamada bir önceki aşamada bulduğumuz z veya t değerinin eğrinin hangi bölgesinde kaldığına bakılarak H0 hipotezi reddedilir veya kabul edilir. Bulunan değer eğrinin neresinde kalıyor öğrenebilmemiz için tek veya çift kuyruk olup olmadığını bilmemiz gerekir. Tek veya çift kuyruk hipotez testlerinin nasıl belirlenebileceğini öğrenmek için buraya tıklayabilirsiniz.


