“Kök üç neden rasyonel değildir?” sorusunun cevabı “Kök iki neden rasyonel değildir?” sorusunun cevabı ile neredeyse tamamen aynıdır. Daha önceki bir yazımızda “Kök iki neden rasyonel değildir?” sorusunun cevabını vermiştik. Bu yazımızda da benzer bir yol izleyerek ispatlayacağız. Kök üç neden rasyonel değildir? ispatı
KÖK ÜÇÜN RASYONEL OLMADIĞININ İSPATI
Kök üçün rasyonel olmadığını göstermek için öncelikle kök üçü rasyonel bir sayı olarak kabul edelim ve çelişki yolu ile ispatlayalım.
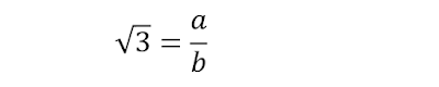
Eğer kök üç rasyonel bir sayı ise kesir şeklinde yazabiliriz.
Kök üç rasyonel ise yukarıdaki gibi yazılabilir. (b≠0, a ve b aralarında asaldır.)
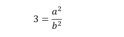
Yukarıdaki eşitlikte her iki tarafın da karesini alalım.
Elde ettiğimiz eşitlikte içler dışlar çarpımı yapalım.
Yukarıdaki eşitlikten de anladığımız gibi a ifadesi üçün katı bir sayıdır. Şimdi a ifadesini 3k gibi üçün katı bir sayıya eşitleyelim.
=> a = 3k
=> a2 = 9k2
İlk bulduğumuz eşitlikte a2 ifadesini yerine yazarsak
=>3.b2= 9.k2
=>b2 = 3.k2olur.
Son durumda a ve b sayılarının karelerinin değerleri a2= 9k2 ve b2 = 3.k2 çıktı. Bu durumda a ve b değerleri üçün katı olmak zorundadır. Kök üçü rasyonel bir sayı kabul ettiğimizde a ve b değerlerinin aralarında asal olması gerektiğini söylemiştik. Elde ettiğimiz sonuçta ise a ve b değerleri üçün katı çıktı. Bu durum bir çelişki doğuruyor.Bu sebeple kök üç rasyonel bir sayı değildir. Kök ikinin neden rasyonel olmadığını ispatladığımız yazımıza buradan ulaşabilirsiniz. Kök iki ve kök üçün rasyonel olmadığını çelişki yoluyla ispatladık. Bu ispatlardan yararlanılarak rasyonel olmayan köklü sayıların neden rasyonel olmadığı ispatlanabilir.

